ChemIndex - A free chemical CAS databaseToocle Global|ChemNet Global|ChemNet China|China Chemical Network|ChemNet Korea
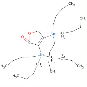
| 220337-29-1 2(5H)-Furanone, 3,4-bis(tributylstannyl)- | |
| Chemical Name | 2(5H)-Furanone, 3,4-bis(tributylstannyl)- | 
| Molecular Formula | C28H56O2Sn2 | 
| CAS Registry Number | 220337-29-1 | 
| Molecular Structure |  | 
| MSDS | |