ChemIndex - A free chemical CAS databaseToocle Global|ChemNet Global|ChemNet China|China Chemical Network|ChemNet Korea

Chemindex > 227611-41-8

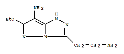
227611-41-8 1H-Pyrazolo[5,1-c]-1,2,4-triazole-3-ethanamine,7-amino-6-ethoxy-

Chemical Name 1H-Pyrazolo[5,1-c]-1,2,4-triazole-3-ethanamine,7-amino-6-ethoxy-
Synonyms 1H-Pyrazolo[5,1-c]-1,2,4-triazole-3-ethanamine,7-amino-6-ethoxy-(9CI)
Molecular Formula C8H14N6O
CAS Registry Number 227611-41-8
Molecular Structure 227611-41-8  1H-Pyrazolo[5,1-c]-1,2,4-triazole-3-ethanamine,7-amino-6-ethoxy-
MSDS Material Safety Data Sheet

  • If you plan to source chemicals from China, just go to ChemNet mall, we will get the latest and competitive price from China manufacturers for you. Please visit

    ChemNet Mall

    Suppliers for 227611-41-8 (0):

    if you are a supplier of 1H-Pyrazolo[5,1-c]-1,2,4-triazole-3-ethanamine,7-amino-6-ethoxy-, and want to be listed here, feel free to contact us.