ChemIndex - A free chemical CAS databaseToocle Global|ChemNet Global|ChemNet China|China Chemical Network|ChemNet Korea

Chemindex > 263546-63-0

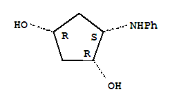
263546-63-0 1,3-Cyclopentanediol,4-(phenylamino)-, (1R,3R,4S)-

Chemical Name 1,3-Cyclopentanediol,4-(phenylamino)-, (1R,3R,4S)-
Synonyms 1,3-Cyclopentanediol,4-(phenylamino)-,(1R,3R,4S)-(9CI)
Molecular Formula C11H15NO2
CAS Registry Number 263546-63-0
Molecular Structure 263546-63-0  1,3-Cyclopentanediol,4-(phenylamino)-, (1R,3R,4S)-
MSDS Material Safety Data Sheet

  • If you plan to source chemicals from China, just go to ChemNet mall, we will get the latest and competitive price from China manufacturers for you. Please visit

    ChemNet Mall

    Suppliers for 263546-63-0 (0):

    if you are a supplier of 1,3-Cyclopentanediol,4-(phenylamino)-, (1R,3R,4S)-, and want to be listed here, feel free to contact us.