ChemIndex - A free chemical CAS databaseToocle Global|ChemNet Global|ChemNet China|China Chemical Network|ChemNet Korea

Chemindex > 303749-96-4

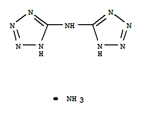
303749-96-4 2H-Tetrazol-5-amine,N-2H-tetrazol-5-yl-, ammonium salt (1:1)

Chemical Name 2H-Tetrazol-5-amine,N-2H-tetrazol-5-yl-, ammonium salt (1:1)
Synonyms 1H-Tetrazol-5-amine,N-1H-tetrazol-5-yl-, monoammonium salt;Bis[1(2)H-tetrazol-5-yl]aminemonoammonium salt;BTA-NH3
Molecular Formula C2H3N9·H3N
Molecular Weight 170.14
CAS Registry Number 303749-96-4
Molecular Structure 303749-96-4  2H-Tetrazol-5-amine,N-2H-tetrazol-5-yl-, ammonium salt (1:1)
MSDS Material Safety Data Sheet

  • If you plan to source chemicals from China, just go to ChemNet mall, we will get the latest and competitive price from China manufacturers for you. Please visit

    ChemNet Mall

    Suppliers for 303749-96-4 (0):

    if you are a supplier of 2H-Tetrazol-5-amine,N-2H-tetrazol-5-yl-, ammonium salt (1:1), and want to be listed here, feel free to contact us.