ChemIndex - A free chemical CAS databaseToocle Global|ChemNet Global|ChemNet China|China Chemical Network|ChemNet Korea

Chemindex > 432039-66-2

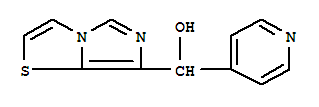
432039-66-2 Imidazo[5,1-b]thiazole-7-methanol,a-4-pyridinyl-

Chemical Name Imidazo[5,1-b]thiazole-7-methanol,a-4-pyridinyl-
Synonyms Imidazo[5,1-b]thiazole-7-methanol, -alpha--4-pyridinyl-
Molecular Formula C11H9N3OS
CAS Registry Number 432039-66-2
Molecular Structure 432039-66-2  Imidazo[5,1-b]thiazole-7-methanol,a-4-pyridinyl-
MSDS Material Safety Data Sheet

  • If you plan to source chemicals from China, just go to ChemNet mall, we will get the latest and competitive price from China manufacturers for you. Please visit

    ChemNet Mall

    Suppliers for 432039-66-2 (0):

    if you are a supplier of Imidazo[5,1-b]thiazole-7-methanol,a-4-pyridinyl-, and want to be listed here, feel free to contact us.