ChemIndex - A free chemical CAS databaseToocle Global|ChemNet Global|ChemNet China|China Chemical Network|ChemNet Korea

Chemindex > 478506-63-7

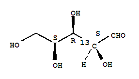
478506-63-7 L-Xylose-2-13C (9CI)

Chemical Name L-Xylose-2-13C (9CI)
Molecular Formula C5H10O5
Molecular Weight 151.14
CAS Registry Number 478506-63-7
Molecular Structure 478506-63-7  L-Xylose-2-13C (9CI)
MSDS Material Safety Data Sheet

  • If you plan to source chemicals from China, just go to ChemNet mall, we will get the latest and competitive price from China manufacturers for you. Please visit

    ChemNet Mall

    Suppliers for 478506-63-7 (0):

    if you are a supplier of L-Xylose-2-13C (9CI), and want to be listed here, feel free to contact us.