ChemIndex - A free chemical CAS databaseToocle Global|ChemNet Global|ChemNet China|China Chemical Network|ChemNet Korea

Chemindex > 50657-32-4

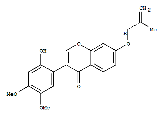
50657-32-4 4H-Furo[2,3-h]-1-benzopyran-4-one,8,9-dihydro-3-(2-hydroxy-4,5-dimethoxyphenyl)-8-(1-methylethenyl)-, (8R)-

Chemical Name 4H-Furo[2,3-h]-1-benzopyran-4-one,8,9-dihydro-3-(2-hydroxy-4,5-dimethoxyphenyl)-8-(1-methylethenyl)-, (8R)-
Synonyms 4H-Furo[2,3-h]-1-benzopyran-4-one,8,9-dihydro-3-(2-hydroxy-4,5-dimethoxyphenyl)-8-(1-methylethenyl)-, (R)-;Derritol isoflavone (7CI)
Molecular Formula C22H20O6
CAS Registry Number 50657-32-4
Molecular Structure 50657-32-4  4H-Furo[2,3-h]-1-benzopyran-4-one,8,9-dihydro-3-(2-hydroxy-4,5-dimethoxyphenyl)-8-(1-methylethenyl)-, (8R)-
MSDS Material Safety Data Sheet

  • If you plan to source chemicals from China, just go to ChemNet mall, we will get the latest and competitive price from China manufacturers for you. Please visit

    ChemNet Mall

    Suppliers for 50657-32-4 (0):

    if you are a supplier of 4H-Furo[2,3-h]-1-benzopyran-4-one,8,9-dihydro-3-(2-hydroxy-4,5-dimethoxyphenyl)-8-(1-methylethenyl)-, (8R)-, and want to be listed here, feel free to contact us.