ChemIndex - A free chemical CAS databaseToocle Global|ChemNet Global|ChemNet China|China Chemical Network|ChemNet Korea

Chemindex > 55023-59-1

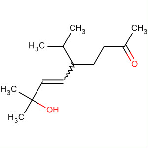
55023-59-1 6-Nonen-2-one, 8-hydroxy-8-methyl-5-(1-methylethyl)-

Chemical Name 6-Nonen-2-one, 8-hydroxy-8-methyl-5-(1-methylethyl)-
Molecular Formula C13H24O2
CAS Registry Number 55023-59-1
Molecular Structure 55023-59-1  6-Nonen-2-one, 8-hydroxy-8-methyl-5-(1-methylethyl)-
MSDS Material Safety Data Sheet

  • If you plan to source chemicals from China, just go to ChemNet mall, we will get the latest and competitive price from China manufacturers for you. Please visit

    ChemNet Mall

    Suppliers for 55023-59-1 (0):

    if you are a supplier of 6-Nonen-2-one, 8-hydroxy-8-methyl-5-(1-methylethyl)-, and want to be listed here, feel free to contact us.