ChemIndex - A free chemical CAS databaseToocle Global|ChemNet Global|ChemNet China|China Chemical Network|ChemNet Korea

Chemindex > 75899-14-8

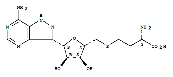
75899-14-8 D-Ribitol,5-S-[(3S)-3-amino-3-carboxypropyl]-1-C-(7-amino-1H-pyrazolo[4,3-d]pyrimidin-3-yl)-1,4-anhydro-5-thio-,(1S)- (9CI)

Chemical Name D-Ribitol,5-S-[(3S)-3-amino-3-carboxypropyl]-1-C-(7-amino-1H-pyrazolo[4,3-d]pyrimidin-3-yl)-1,4-anhydro-5-thio-,(1S)- (9CI)
Synonyms D-Ribitol,5-S-(3-amino-3-carboxypropyl)-1-C-(7-amino-1H-pyrazolo[4,3-d]pyrimidin-3-yl)-1,4-anhydro-5-thio-,[1S,5(S)]-; 1H-Pyrazolo[4,3-d]pyrimidine, D-ribitol deriv.;Formycinylhomocysteine
Molecular Formula C14H20N6O5S
CAS Registry Number 75899-14-8
Molecular Structure 75899-14-8  D-Ribitol,5-S-[(3S)-3-amino-3-carboxypropyl]-1-C-(7-amino-1H-pyrazolo[4,3-d]pyrimidin-3-yl)-1,4-anhydro-5-thio-,(1S)- (9CI)
MSDS Material Safety Data Sheet

  • If you plan to source chemicals from China, just go to ChemNet mall, we will get the latest and competitive price from China manufacturers for you. Please visit

    ChemNet Mall

    Suppliers for 75899-14-8 (0):

    if you are a supplier of D-Ribitol,5-S-[(3S)-3-amino-3-carboxypropyl]-1-C-(7-amino-1H-pyrazolo[4,3-d]pyrimidin-3-yl)-1,4-anhydro-5-thio-,(1S)- (9CI), and want to be listed here, feel free to contact us.